Γράφει ο Στέφανος Καραπέτης*

Για αρκετό καιρό δούλευα στο μεταπτυχιακό μου με το περίφημο «PAMAM» και κάποια στιγμή είδα την λέξη dendrimer, που μεταφραζόταν στα Ελληνικά ως Δενδριμερές. Αναρωτήθηκα τι είναι αυτό το περίφημο πια Δενδριμερές και έτσι ξεκίνησα μια σχετική έρευνα για να καταλήξω σε αυτό εδώ το άρθρο. Είναι μια καθόλα ελληνική λέξη και αναφέρεται σε επαναλαμβανόμενα διακλαδισμένα μόρια. Η λέξη αυτή προέρχεται από την ελληνική λέξη δέντρο και αναφέρεται ως μέρος του δένδρου, δηλαδή Δενδριμερές, γιατί όταν το κοιτάς νομίζεις ότι βλέπεις ένα δέντρο από ψηλά (Σχήμα 1).

Ένα δενδριμερές συνήθως έχει συμμετρικά διακλαδισμένα μόρια γύρω από τον πυρήνα του και συχνά υιοθετεί μια σφαιρική τρισδιάστατη μορφολογία. Τα πρώτα δενδριμερή δημιουργήθηκαν από τον Fritz Vogtle το 1978(1). Τα κύρια χαρακτηριστικά τους είναι η μονοδιασπορά, η επιφάνεια με τις μεγάλες δυνατότητες χημικής τροποποίησης, η υψηλή χημική δραστικότητα, το χαμηλό ιξώδες, η διαλυτότητα σε πλήθος διαλυτών, η αναμιξιμότητα, το καλά καθορισμένο μέγεθος και η δομή τους. Ως αποτέλεσμα όλων αυτών, οι νανοδομές αυτές έχουν μεγάλο ενδιαφέρον και τα τελευταία χρόνια αναφέρονται σε πληθώρα εφαρμογών ως βιοαισθητήρες, καταλύτες, μεταφορείς φαρμάκων, αντιδραστήρια απεικόνισης στη μαγνητική τομογραφία, οργανικά ημιαγώγιμα υλικά, λιπαντικά , μικύλλια, μιμητές βιολογικών μορίων κ.α.
Η απαίτηση για λειτουργικά νανοϋλικά έχει εγείρει το ενδιαφέρον των ερευνητών για την παρασκευή και τον χαρακτηρισμό των δενδριτικών μορίων τα οποία παρουσιάζουν σημαντικό ενδιαφέρον εξαιτίας της τοπολογίας τους και των φυσικοχημικών ιδιοτήτων τους. Τα δενδριμερή διακρίνονται για τη συμμετρική προσάρτιση των κλαδιών τους τα οποία προέρχονται από ένα μόριο πυρήνα καθώς και από ένα καλά καθορισμένο αριθμό τελικών δραστικών ομάδων οι οποίες χαρακτηρίζουν την εκάστοτε γενιά. Επιπρόσθετα αυτά τα μόρια χαρακτηρίζονται από το τρισδιάστατο σχήμα τους και τις κοιλότητες στο εσωτερικό τους οι οποίες τα καθιστούν ικανά για τον εγκλεισμό αλλά και την ελεγχόμενη αποδέσμευση μορίων. Τα υπερκλαδισμένα μακρομόρια συντίθενται με αντιδράσεις ενός βήματος κατά τις οποίες και προκύπτει μια τυχαία διακλάδωση έχοντας βέβαια και μεγάλο αριθμό ατελειών τόσο στη συμμετρία όσο και στον αριθμό των τελικών δραστικών ομάδων.
Στρατηγικές σύνθεσης
Δύο είναι οι κύριες στρατηγικές σύνθεσης που έχουν αναπτυχθεί, η μία είναι η συγκλίνουσα και η δεύτερη η αποκλίνουσα. Υπάρχουν όμως πολλές γενιές δενδριμερών που θα αναφερθούν παρακάτω και στις υψηλές κατηγορίες δεν συνιστάται η συγκλίνουσα μέθοδος γιατί οδηγεί σε χαμηλή απόδοση. Η μέθοδος αυτή προτείνεται μέχρι την 8η τάξη, από την 10η τάξη και μετά χρησιμοποιείται η αποκλίνουσα μέθοδος.
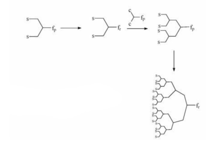
Η συγκλίνουσα μέθοδος αναπτύχθηκε από τους Frechet και Hawker το 1990 (2) και οδηγεί στον σχηματισμό του μορίου από το εξωτερικό προς το εσωτερικό του (Σχήμα 2)

Στο τελικό στάδιο της μεθόδου λαμβάνουμε μια δενδροειδή μονοπυρηνική ένωση που μπορεί να χρησιμοποιηθεί για το σχηματισμό του τελικού δενδριμερούς. Για τη σύνθεση του δενδριμερούς ακολουθείται η μέθοδος της προστασίας και αποπροστασίας και τέλος ακολουθεί η σύνδεση των δενδροειδών κατά το τελικό στάδιο. Η μέθοδος αυτή έχει το πλεονέκτημα ότι τα τυχόν παραπροϊόντα είναι διαφορετικά από το δενδριμερές και απομακρύνονται ευκολότερα.
Η αποκλίνουσα μέθοδος αναπτύχθηκε από τους Denkelwalter(3), Tomalia(4),(5) και Newkome(6) και βασίζεται στην ύπαρξη πολυδραστικού πυρήνα στον οποίο σταδιακά εισάγονται κλάδοι (Σχήμα 3).

Με αυτή τη μέθοδο έχει παρασκευασθεί αυτό που χρησιμοποιούσα στο μεταπτυχιακό μου, δηλαδή το PAMAM. Η πορεία σχηματισμού σε αυτή τη μέθοδο είναι πλήρως ελεγχόμενη με χρήση δραστικού πυρήνα και κατά την εκκίνηση με χρήση συνήθως της αμμωνίας που αντιδρά με τις α,β-καρβονυλικές ενώσεις σύμφωνα με την προσθήκη τύπου Michael(7).
Γενικότερα πρέπει να τονισθεί ότι κατά την πορεία παρασκευής ενός δενδριμερούς υπάρχουν προϊόντα και παραπροϊόντα που έχουν ατελή μορφή. Οι ατέλειες αυτές χωρίζονται σε δύο κατηγορίες: α) τις εξωτερικές, όπου υπάρχει διπλός δεσμός ανάμεσα σε δύο μόρια και β) τις εσωτερικές, όπου υπάρχει σχηματιζόμενος δεσμός ενδομοριακά.

Τα δυο πιο γνωστά δενδριμερή, που είναι και εμπορικώς διαθέσιμα, είναι το PAMAM [Poly(AmidoAMine)] και το DAB [DiAminoButane] (Σχήμα 5).

Τι σημαίνει γενιά δενδριμερών?
Κάθε φορά που συνθέτουμε ένα δενδριμερές δημιουργούμε διάφορες γενιές. Η πρώτη σύνθεση συνήθως αποκαλείται γενιά G1, η δεύτερη σύνθεση γενιά G2 κ.τ.λ. Ξεκινώντας από μια απλή αιθυλενοδιαμίνη μπορούμε να καταλήξουμε στις διάφορες γενιές δενδριμερών PAMAM (Σχήμα 6).

Οι διάφορες γενιές έχουν διαφορετική απεικόνιση και κάθε γενιά έχει διαφορετικές μελέτες και δημοσιεύσεις. Από την απλή ως την πιο σύνθετη απεικόνιση τα σχήματα είναι εντυπωσιακά (Σχήμα 7).

Αυτό που εντυπωσιάζει στα δενδριμερή είναι η τεράστια σταθερότητα και διεισδυτικότητα των μορίων τους. Υπάρχουν χιλιάδες αναφορές για την χρήση τους σε μια σειρά εργασιών σε διεθνή περιοδικά. Αυτό που έχει όμως σημασία είναι πως οι επιστήμονες του έδωσαν ένα ελληνικό όνομα που παραμένει σχετικά άγνωστο στους Έλληνες χημικούς ενώ μόνο μέχρι το 2005 έχουν αναφερθεί 5000 εργασίες και διατριβές που αναφέρονται οι διάφορες χρήσεις των δενδριμερών.
Πηγές
- Buhleier, Egon; Wehner, Winfried; Vögtle, Fritz (1978). “”Cascade”- and “Nonskid-Chain-like” Syntheses of Molecular Cavity Topologies”. 1978 (2): 155–158
- Hawker, C. J.; Fréchet, J. M. J. (1990). “Preparation of polymers with controlled molecular architecture. A new convergent approach to dendritic macromolecules”. J. Am. Chem. Soc. 112 (21): 7638–7647.
- Denkewalter, Robert G. et al. (1981) “Macromolecular highly branched homogeneous compound” U.S. Patent 4,410,688
- Tomalia, Donald A. and Dewald, James R. (1983) “Dense star polymers having core, core branches, terminal groups” U.S. Patent 4,507,466
- Tomalia, D A; Baker, H; Dewald, J; Hall, M; Kallos, G; Martin, S; Roeck, J; Ryder, J; Smith, P (1985). “A New Class of Polymers: Starburst-Dendritic Macromolecules”. Polymer Journal. 17: 117–132.
- Newkome, George R.; Yao, Zhongqi; Baker, Gregory R.; Gupta, Vinod K. (1985). “Micelles. Part 1. Cascade molecules: a new approach to micelles. A [27]-arborol”. J. Org. Chem. 50 (11): 2003–2004.
- Holister, Paul; Christina Roman Vas; Tim Harper (October 2003). “Dendrimers: Technology White Papers”. Cientifica.
*Οι σημερινές χημικές πτήσεις ξεκινούν με ένα άρθρο μου στα χημικά χρονικά Ιουλίου-Αυγούστου 2017, το οποίο έχει αναδημοσιευτεί στην Αγγλική γλώσσα στο Encyclopedias της MDPI. Με αυτό τον τρόπο ξεκινούμε μια σειρά άρθρων που αφορούν τον τομέα της Χημείας και όχι τον συνδικαλιστικό τομέα
![]()